
Mouthpiece (インビザライン) 装置の洗い方

有本博英 矯正歯科医
2018.02.01
今日は Mouthpiece (マウスピース) 装置、インビザライン(薬機法対象外)の洗い方について。
こんにちは、有本博英です。皆さん使われているマウスピース、毎日洗っていただいているかと思いますが、洗い方によって差があるか?を調べた研究があります。
Angle Orthodontistという学会雑誌に掲載された、“Efficacy of three hygienic protocols in reducing biofilm adherence to removable thermoplastic appliance. Nir Shpacka et.al.Angle Orthod. 2014;84:161– 170.”(PDF)という論文。
“可撤式熱可塑性プラスティック装置(インビザラインのことです)へのバイオフィルム付着を減少させるための3種類の洗浄方法の有効性”ということですが、ようするに、
インビザラインを3種類の方法で洗浄したけどどれが一番綺麗になったのか?
を調べたもの。
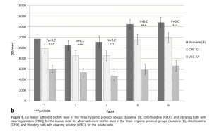
インビザラインも口の中に入れていると汚れます。その汚れは生物学的な膜となってアライナー表面に吸着します。これをバイオフィルムと言います。
この研究では、バイオフィルムの吸着量を3種類の洗浄方法で比べています。
1) フッ素入り歯磨き粉をつかって歯ブラシで磨く
2) マウスウォッシュに15分間つける
3) 入れ歯洗浄液につけたものを15分間超音波洗浄にかける
結果は、、
歯ブラシだけよりもマウスウォッシュの方が16%、さらに洗浄液+超音波洗浄機で洗った方が50%バイオフィルム付着率が低かったんだそうです。
イースマイルではみなさんにアライナー洗浄剤を使用していただいていますが、これにつけて超音波洗浄器にかけるとさらに倍以上綺麗にできる!、ということですね!
超音波洗浄機、入れ歯用のものなどそんなに高くないですから、試されてみてはいかがでしょうか?
ではでは。今日もみなさんHapp E- Smileで。
イースマイル国際矯正歯科ではチームメンバーを募集しています!
最新のデジタル矯正に興味のあるドクター
学びのある清潔な環境で楽しく働きたい 歯科衛生士
子どもから大人まで触れ合える、インターナショナルな環境で働きたいレセプショニスト
ご興味のある方はこちらをご覧下さい。

